彩乐园

当前位置: 主页 > 科学研究 > 科研动态 > 正文

近日,迪士尼彩乐园 光电智能感知团队在基于光纤SERS探针的远程SERS光谱检测领域取得进展,在光学重要期刊Optics Letters上发表题为“Remote SERS detection at a 10-meter scale using quartz fiber SERS probes coupled with convolutional neural network”的研究论文。2020级联合培养研究生黄俊鹏为文章第一作者,我院周飞副研究员、刘晔研究员为该论文的通讯作者。

利用拉曼光谱开展痕量分析物的远程检测在环境监测、爆炸物分析、危险现场检测等领域具有重要应用价值,但常规拉曼光谱信号弱,检测灵敏度受限。表面增强拉曼散射(Surface-enhanced Raman scatteringSERS)技术利用贵金属纳米材料的局域表面等离子体共振(Localized surface plasmonic resonanceLSPR)效应能够显著提高拉曼光谱的检测灵敏度,通过将贵金属纳米结构制备在光纤表面形成的光纤SERS探针为高灵敏远程SERS探测提供新途径(如图1a)。

1(a)利用光纤SERS探针开展远程SERS光谱检测示意图,(b)光纤SERS探针表面的纳米颗粒团簇结构,(c)光纤自身拉曼对待测物SERS光谱的影响。

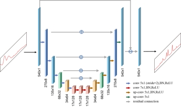
石英光纤SERS探针具有成本低、传输损耗小、传输带宽宽等显著优点,然而将其用于远程SERS光谱检测时,拉曼激发光在石英光纤中传输时将激发光纤自身的拉曼信号,进而叠加到待测物的SERS光谱中,严重限制SERS光谱的信噪比和检测灵敏度(如图1c)。本工作提出一种基于卷积神经网络(Convolutional neural networkCNN)的深度学习算法实现光纤SERS探针中光纤自身拉曼本底的有效滤除,以显著提高了石英光纤SERS探针的远程检测能力。我们构建了如图2所示的U-Net架构CNN模型,利用实验数据和计算机生成数据相结合的方法产生数百万条光谱数据对网络模型进行训练,获得优良的光纤光谱背景去除能力,其在验证集和测试集上的R2系数达到0.99630.9948

2、基于U-Net构架的CNN光纤本底去除模型

基于上述训练好的CNN模型,我们利用实验室发展的激光诱导蒸发自组装法制备了系列纳米颗粒团簇结构光纤SERS探针,测量了1 m5 m10 m距离的远程SERS光谱,并比较了CNN法和传统参考光谱法(RSM)的拉曼背景去除效果。结果表明,CNN法比RSM法的检测灵敏度高一个数量级;利用CNN法实现了10 m长度下10-8 mol/LRh6G溶液的液相高灵敏、快速检测。该工作为SERS光谱的远程痕量检测提供了一种可行方案,在危险物质检测和远程环境监测中展现出重要应用前景。

3不同检测距离和背景去除方法获得的Rh6G溶液的SERS光谱

以上工作得到国家自然科学基金面上项目、国家重点研发计划项目子课题、广东省自然科学基金面上项目、粤莞联合基金培育项目等项目的资助。

(撰稿:初让;初审:李艳霞;复审:刘晔;终审:胡耀华)


上一篇:电智学术论坛:智能自动化学科学术讲座

下一篇:彩乐园 何小勇博士指导本科生在高水平期刊发表2篇高水平成果